Picture Detail
This
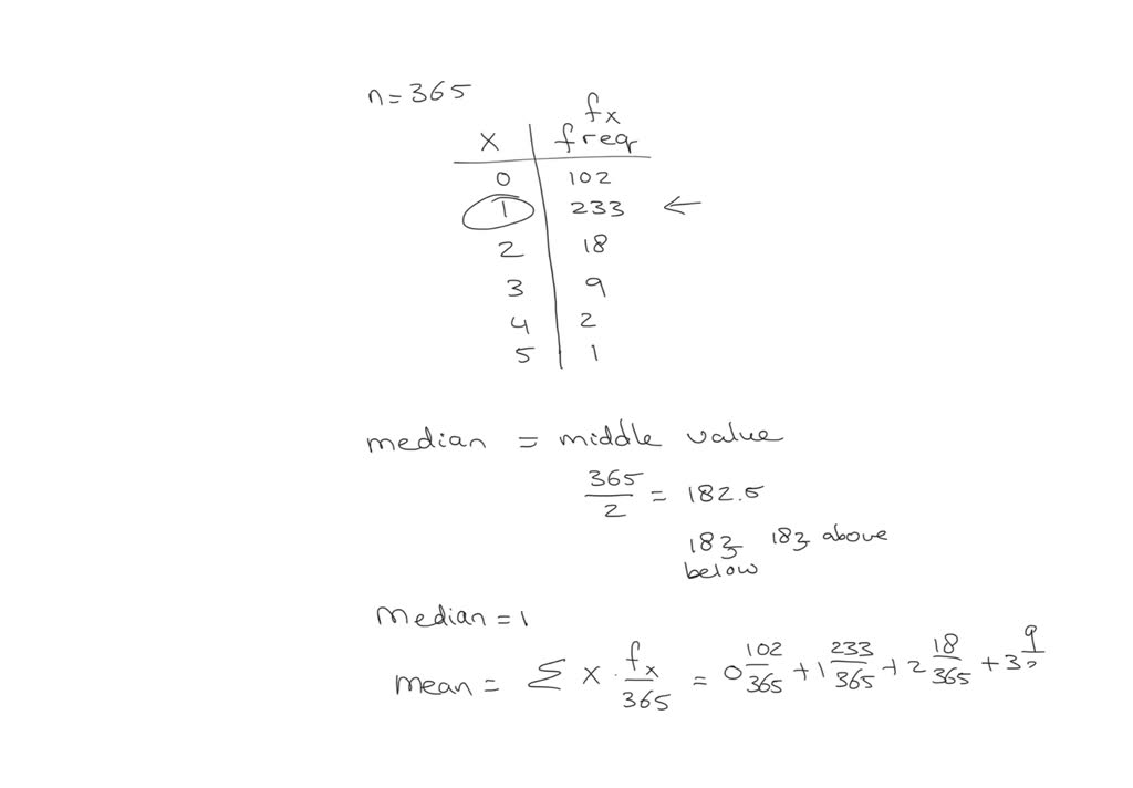
Sex Partners A Recent General Social Survey Asked Female Respondents How Many Sex Partners pictures has 500 x 400 · 50 kB · jpeg.
Sex Partners A Recent General Social Survey Asked Female Respondents How Many Sex Partners is a popular picture for sexy and hot.
If this picture is your intelectual property (copyright infringement) or child pornography / immature images, please
send report or email to info[at]hotzxgirl.com to us.
Tag : Sex Partners A Recent General Social Survey Asked Female Respondents How Many Sex Partners
Image source : cdn.numerade.com